|
Generated on 4/2/2026 at 2:14 AM |
The webpage this document was printed/exported from can be found at the following URL:
https://www.cpalms.org/PreviewStandard/Preview/15497
https://www.cpalms.org/PreviewStandard/Preview/15497
Apply properties of operations to multiply two linear expressions with rational coefficients.
Standard #: MA.8.AR.1.2
Standard Information
Standard Examples
The product of (1.1+x) and (-2.3x) can be expressed as -2.53x-2.3x² or -2.3x²-2.53x.
Standard Clarifications
Clarification 1: Problems are limited to products where at least one of the factors is a monomial.
Clarification 2: Refer to Properties of Operations, Equality and Inequality (Appendix D).
General Information
Subject Area: Mathematics (B.E.S.T.)
Grade: 8
Strand: Algebraic Reasoning
Date Adopted or Revised: 08/20
Status: State Board Approved
Standard Instructional Guide
Connecting Benchmarks/Horizontal Alignment
Terms from the K-12 Glossary
- Coefficient
- Linear Expression
- Rational
Vertical Alignment
Previous Benchmarks
Next Benchmarks
Purpose and Instructional Strategies
In grade 7, students applied properties of operations to add and subtract linear expressions with rational coefficients. Additionally, students determined if two linear expressions were equivalent. In grade 8, students apply properties of operations to multiply two linear expressions with rational coefficients. In Algebra 1, students will add, subtract, multiply and divide polynomial expressions.- Instruction includes working with multiplying two linear expressions and connecting the distributive property.
- Instruction includes modeling this benchmark concretely. One way to do this is to model with algebra tiles to generate equivalent expressions.
- For example, 2( + 3) can be modeled using the algebra tiles to showcase the equivalent expression of 2 + 6.

- For example, 2( + 3) can be modeled using the algebra tiles to showcase the equivalent expression of 2 + 6.
- Instruction moves from concrete models of examples with integer coefficients to rational coefficients.
- Instruction includes providing and discussing tasks that involve students analyzing errors which helps their ability to self-correct misconceptions within their own work.
Common Misconceptions or Errors
- Students may incorrectly apply the distributive property by multiplying the monomial to only one of the terms in the parentheses. To address this misconception, emphasize that it is the distributive property (multiplication to all terms) to help support student understanding.
- Students may incorrectly apply the rules of integers as they distribute. Students may incorrectly change the degree of the variable to simplify terms.
- Students may incorrectly change the degree of the variable in order to simplify terms.
Strategies to Support Tiered Instruction
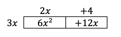
- Teacher models examples using the area model for multiplication, showing that the monomial should be multiplied by each term of the polynomial.
- For example, the area model can be used to determine the product between 45 and 5 is 225. Once students understand how distribution works, teachers reintroduce variables and solve problems the same way.
- For example, the area model can be used to determine the product between −3 and 4 is 4 −12.
- For example, the area model can be used to determine the product between 3 + 4 is 3² + 6x.

- Algebra tiles could be used when solving problems using the distributive property. This will help students who incorrectly distribute the monomial to only one term of the polynomial.
- Teachers may color code each step of the problem so students can see the progression of distribution.
- For example, the expression 3( + 7) is equivalent to 3 +21.

- For example, the expression 3( + 7) is equivalent to 3 +21.
- Instruction includes emphasizing that it is the distributive property of multiplication over addition to help support student understanding.
Instructional Tasks
Instructional Task 1 (MTR.4.1)Students were working on the math problem −(4 + 8). Kevin’s result is shown in the table below.
Instructional Task 2 (MTR.7.1)
- Part A. Is Kevin’s answer correct?
- Part B. If no, explain his misconception and how he can correct his mistake. If yes, explain why he is correct and the steps he could have used.

Instructional Task 2 (MTR.7.1)
A rectangle is given below. Note: The figure is not drawn to scale.

An expression is given below.
− ( − )
What is the product of the expression?
Instructional Item 2
Find the product of 0.25(0.55 − 0.3).

- Part A. Find the area in terms of .
- Part B. If the value of is 4 cm, what is the area of the rectangle in square centimeters?
Instructional Items
Instructional Item 1An expression is given below.
− ( − )
What is the product of the expression?
Instructional Item 2
Find the product of 0.25(0.55 − 0.3).
*The strategies, tasks and items included in the B1G-M are examples and should not be considered comprehensive.
Related Courses
- Foundational Skills in Mathematics 9-12 (Specifically in versions: 2014 - 2015, 2015 - 2022, 2022 - 2024, 2024 and beyond (current)) 1200400
- M/J Accelerated Mathematics Grade 7 (Specifically in versions: 2014 - 2015, 2015 - 2020, 2020 - 2022, 2022 - 2024, 2024 and beyond (current)) 1205050
- M/J Grade 8 Pre-Algebra (Specifically in versions: 2014 - 2015, 2015 - 2022, 2022 - 2024, 2024 and beyond (current)) 1205070
- M/J Foundational Skills in Mathematics 6-8 (Specifically in versions: 2014 - 2015, 2015 - 2022, 2022 - 2024, 2024 and beyond (current)) 1204000
- Access M/J Grade 8 Pre-Algebra (Specifically in versions: 2014 - 2015, 2015 - 2018, 2018 - 2019, 2019 - 2022, 2022 and beyond (current)) 7812030
Related Access Points
- MA.8.AR.1.AP.2 Use the distributive property to multiply a monomial by a linear expression.
Related Resources
Lesson Plan
- Geometree Thievery This geometry lesson focuses on partitioning a segment on a coordinate grid in a non-traditional and interesting format. Students will complete a series of problems to determine which farmers are telling the truth about their harvested "Geometrees."
Perspectives Video: Teaching Idea
- Multiplying Polynomials Unlock an effective teaching strategy for teaching multiplying polynomials in this Teacher Perspectives video for educators.
Problem-Solving Tasks
- Coupon Versus Discount In this task, students are presented with a real-world problem involving the price of an item on sale. To answer the question, students must represent the problem by defining a variable and related quantities, and then write and solve an equation.
- The Sign of Solutions It is possible to say a lot about the solution to an equation without actually solving it, just by looking at the structure and operations that make up the equation. This exercise turns the focus away from the familiar "finding the solution" problem to thinking about what it really means for a number to be a solution of an equation.